Elementy analizy modelu felgi z użyciem Komputerowej Dynamiki Płynów Komputerowa Dynamika Płynów (ang. Computational Fluid Dynamics CFD) to jedna z dziedzin mechaniki płynów, zajmująca się rozwiązywaniem i analizą problemów przepływów masy i ciepła, z pomocą metod numerycznych. Zagadnienie to, którego rozwój związany jest z pracą wielkich matematyków XIX wieku znane jest dziś często pod niezbyt ścisłą nazwą „rozwiązywania układu równań Naviera – Stokesa”. Pomimo silnych teoretycznych inklinacji problemu, wielki rozwój metod CFD w ciągu ostatniego ćwierćwiecza zaowocował możliwością ich inżynierskiego zastosowania w projektowaniu i analizie systemów inżynierskich przy redukcji kosztów i czasu rozwoju produktu. Celem tego artykułu nie jest próba wyjaśnienia teoretycznych podstaw mechaniki płynów, nie może być również postrzegany jako opis testowania implementacji numerycznej ani wybranego kodu. Celem autora jest przedstawienie podstawowych zastosowań CFD oraz przybliżenie jak najszerszemu kręgowi użytkowników i entuzjastów metod numerycznych tej jeszcze nieczęsto używanej techniki. Dzięki uprzejmości organizatorów serwisu feazone.org możliwe było użycie rozważanego szerzej modelu felgi, którego obliczenia wytrzymałościowe mogą w interesujący sposób uzupełnić się z podejściem CFD; z pewnością zaowocuje to szerszym spojrzeniem na kwestię projektowania wyrobu końcowego. Cel pracy W niniejszej pracy przestawiono obliczenia przepływu medium gazowego (powietrze) wokół modelu felgi samochodowej z dorysowaną schematycznie oponą. Celem była wizualizacja opływu wokół przedmiotu, zbadanie sił aerodynamicznych działających na fragment domeny obliczeniowej oraz pobieżna analiza efektów w warstwie przyściennej. Przede wszystkim jednak chodziło o demonstrację podstawowych aspektów problematyki obliczeń CFD. Geometria i siatka W niniejszej pracy obiektem badanym jest przeskalowany model felgi samochodowej o średnicy rzędu 100 mm („felga prosta”). Model ten poddano uproszczeniom geometrycznym polegającym na zapełnieniu otworu na piastę, otworów na śruby mocujące oraz otworów na śruby spinające części felgi. Dorysowana została opona o arbitralnie przyjętym zarysie; bieżnik potraktowano jako ścianą szorstką o szorstkości rzędu 0.2 mm. Domena obliczeniowa (Rysunek 1) ma wymiary 200 x 250 x 700 mm, badany model umieszczony jest w przedniej części. Model koła nie obraca się, natomiast założono celowy odstęp pomiędzy spodnią częścią opony a podłożem (rzędu 1mm) – jego znaczenie zostanie opisane dalej. Siatki elementów skończonych liczą około 3,8 mln elementów o wymiarze maksymalnym 6 mm. Siatki składają się z elementów czworobocznych, z istotnym udziałem pryzmatycznych elementów dla warstwy przyściennej. Badania modelu wykonano dla prędkości przepływu V równej 20 m*s-1, 40 m*s-1oraz 60 m*s-1; przyjmując jako medium powietrze o lepkości μ liczba Reynoldsa ReL modelu rzędu 250 mm kolejno około 300000, 600000 i 900000. Korzystając z zależności: wynosiła dla rozmiaru charakterystycznego (1) Gdzie Δy – odległość pierwszego węzła siatki od powierzchni modelu [m]: Δy+ – bezwymiarowa odległość pierwszego węzła siatki od powierzchni modelu. Można podać warunki tworzenia siatki dla oczekiwanych wartości Re. Zgodnie z zaleceniami większości modeli „high-Re” turbulencji Δy+ powinna wynosić około 10. W związku z tym, odległość pierwszego węzła siatki od powierzchni dla wymienionych liczb Re wynosiła zgodnie z równaniem 1 od 0.2 mm do 0.07 mm. Siatka warstwy przyściennej pokrywa cały model koła wraz z podłożem (Rysunek 2), mając 10 warstw. Grubość warstw licząc od powierzchni wzrasta co każdą o 10%. Opisane siatki zostały wybrane po badaniach na siatkach dwukrotnie liczniejszych i o połowę mniej licznych. Ponieważ istotne parametry przepływu zmieniały się o około 3% wybrano wariant pośredni jako kompromis dokładności i czasu obliczeń.  Rysunek 1 i Rysunek 2 (inset). Widok ogólny fragmentu domeny obliczeniowej – zwraca uwagę zagęszczenie siatki wokół modelu. Po prawej stronie detal powierzchni opony ukazujący siatkę warstwy przyściennej. Obliczenia Opisywany model badany był w adiabatycznym przepływie powietrza o temperaturze 200C, w reżimie turbulentnym, za pomocą modelu k-e o standardowych parametrach. Wykonano następujące obliczenia: - Dla prędkości napływu powietrza V 20m*s-1, 40m*s-1oraz 60m*s-1 na osobno przygotowanych siatkach, celem zbadania sił działających na powierzchnię czołową opony,
- Dla prędkości napływu powietrza V 20m*s-1 przy użyciu siatek dla wyższych liczb Re dla zbadania wpływu zmieniającej się wartości Δy+ na naprężenia (ang. shear stress rate) przy powierzchni opony w osi modelu
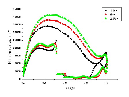
Wszystkie obliczenia wykonano dla zbieżności numerycznej poniżej 10-4, imbalancje wszystkich równań były każdorazowo niższe niż 0.5%. Czas każdego obliczenia wyniósł około 1 godziny. Wyniki i dyskusja Linie przepływu powietrza o prędkości początkowej 20 m*s-1 wokół modelu, leżące w płaszczyznach prostopadłych przedstawiono na rysunku 3; wlot znajduje się po stronie prawej rysunku. Widoczne jest sprężanie strug wzdłuż profilu opony oraz w narożniku opony pomimo zaokrąglenia. Dzięki dużej energii kinetycznej warstwy przyściennej nie dochodzi do wyraźnego oderwania strugi za oponą. Widoczne są również strugi powietrza „wpychane” pod koło. Ponieważ w odległość pomiędzy dolną częścią opony a podstawą domeny obliczeniowej jest mniejsza niż grubość warstwy przyściennej powietrze jest po dotarciu tam silnie wypychane na zewnątrz. Strugi te nie są więc widoczne na wizualizacji w ich płaszczyźnie początkowej.  Rysunek 3. Linie prądu wokół modelu, prędkość 20 m*s-1.  Rysunek 4. Siła oporu aerodynamicznego wywierana przez przepływające powietrze na toczną powierzchnię (bieżnik) opony. Rysunek 4 przedstawia wyniki obliczeń sił oporu aerodynamicznego działających na powierzchnię bieżnika opony. Punkty czarne prezentują obliczenia numeryczne. Punkty czerwone obrazują wyniki obliczeń siły oporu F bryły o współczynniku oporu Cx zgodnie ze wzorem: (2) Gdzie: S – powierzchnia czołowa bryły [m2], ρ – gęstość medium [kg*m-3]. Dla podanych wymiarów koła przyjęto współczynnik oporu Cx równy 0.5. Widoczna jest zgodność obliczeń numerycznych i analitycznych, przy czym opór wyliczony analitycznie ma wartość wyższą o 5% do 7% w całym zakresie prędkości. Prawdopodobną przyczyną jest zaokrąglenie brzegów opony co może obniżać współczynnik Cx jednak wartość taka nie jest autorowi znana. Ważnym zagadnieniem w obliczeniach konstrukcji oddziałujących z medium płynnym jest analiza zjawisk zachodzących w warstwie przyściennej. W opisywanym projekcie badania naprężeń w płynie w największej bliskości omywanych powierzchni polegały na określeniu zależności wartości sumy składowych tensora naprężeń przy prędkości przepływu 20m*s-1Re. Z powodu słabej nieliniowości mianownika w równaniu (1) można założyć, że podwojenie liczby Re owocuje dwukrotnym zmniejszeniem odległości pierwszego węzła siatki (w którym wyliczane są naprężenia) od powierzchni, czyli jest równoważne zmniejszeniu Δy+. Na rysunku 5 zawarto porównanie naprężeń mierząc je wzdłuż krzywej będącej przecięciem powierzchni opony z pionową płaszczyzną jak na rysunkach 1 i 3. Kąt Ф jest kątem pomiędzy normalną do powierzchni opony a kierunkiem napływu powietrza. Wykres ten można interpretować następująco: idąc od współrzędnej cosФ=0 po dolnej gałęzi krzywych w lewo podążamy od najniższego punktu koła w stronę napływu. Na wykresie następuje gwałtowny (nieciągły) skok naprężeń w punkcie, w którym siatka jest już zbyt „gruba” i nie przepuszcza strug. Postępując dalej po obwodzie opony w stronę punktu natarcia obserwujemy spadek naprężeń do niewielkich wartości – naprężenie nie spadają jednak do 0 co byłoby cechą idealnie wybranego punktu natarcia, krawędź tnąca nie leży jednak dokładnie w osi opony. Postępując dalej w kierunku najwyższego punktu na kole mijamy maksimum naprężeń (na rysunku 3 największe sprężenie strug) i zmierzamy w stronę punktu najbardziej „osłoniętego”. Nie widać jednak gwałtownego oderwania strugi. W punkcie o współrzędnej cosФ=-1 (z „tyłu” opony”) wartość naprężeń pozostaje niezerowa. W sytuacji idealnej symetrii przykładu wartość naprężeń w tym punkcie, przewidywana przez model k-e powinna być równa 0 co jest jedną z cech tego modelu. Charakterystycznym pozostaje również fakt, że największe różnice pomiędzy wartościami naprężeń występują w miejscach o największych wartościach ciśnienia (prędkościach przepływu). Czym bliżej powierzchni znajduje się pierwszy węzeł siatki tym większa jest wartość gradientu prędkości i naprężeń. Krzywe dla wartości 2.5y+ i 5y+ leżą bliżej siebie, co może sugerować użycie nieco gęstszych siatek w warstwie przyściennej.  Rysunek 5. Wartość naprężeń w płynie na powierzchni opony wzdłuż linii powstającej przez przecięcie płaszczyzny pionowej z rysunków 1 i 3 z powierzchnią opony. Podsumowanie W pracy niniejszej przedstawiono wybrane elementy obliczeń aerodynamicznych modelu felgi wraz z oponą w zakresie prędkości powietrza do 60m*s-1, przedstawiono warunki brzegowe i zarys zagadnienia tworzenia siatki obliczeniowej. Siła oporu aerodynamicznego wyliczona metodą CFD pozostaje w zgodzie z wynikami analitycznymi na poziomie 5%. Dalsze prace mogłyby polegać na dodaniu ruchu obrotowego opony, przetestowaniu innych modeli turbulencji (zwłaszcza w kontekście oderwania strug) lub szerszej analizie już otrzymanych wyników. Autor zachęca do dyskusji nad zagadnieniem obliczeń CFD. Łukasz „Luk_Fiz” Czopyk Autor składa podziękowania organizatorom i społeczności serwisu feazone.org za udostępnienie modelu felgi. |