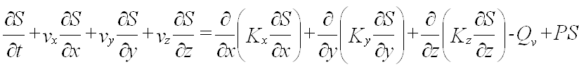
Autor: Marek Chodorski e-mail: marek_ac@wp.pl Model rozprzestrzeniania się zanieczyszczeń w atmosferze Model należy do grupy modeli eulerowskich z domknięciem pierwszego rzędu. Rozwiązanie równania transportu masy metodą elementów skończonych w 3D w układzie niestacjonarnym z konwekcją. Równanie transportu masy  x,y,z współrzędne t czas S stężenie QV objętościowe natężenie emisji P współczynnik zaniku zanieczyszczenia Kx, Ky, Kz współczynniki dyfuzji turbulencyjnej w kierunkach x, y, z vx,vy,vz składowe prędkości wiatru Wyniki obliczeń w płaszczyźnie ziemi (pierwszy wykres w każdym kroku czasowym) oraz w płaszczyźnie do niej prostopadłej (widok rozkładu stężenia zanieczyszczenia mając komin „za plecami”) czas 100 s W chwili „0” włączono komin. Po 100 sec. już coś widać na powierzchni ziemi. Do wybranego przekroju poprzecznego modelowanego obszaru struga zanieczyszczenia jeszcze nie dotarła.   czas 300 s Struga zanieczyszczenia omija wysoki budynek będący na jej drodze   czas 500 s   czas 1000 s   czas 1200 s Włączono drugi komin oraz zmienił się kierunek wiatru   czas 1800 s Po tym czasie rozwiązanie jest takie jak rozwiązanie przy założeniu dS/dt=0   |